发布信息当前位置: 首页 » 产品 » 化学药品 » 医药中间体 »

钆塞酸二钠135326-22-6

点击图片查看原图
品牌: 山东铭康
CAS: 135326-22-6
单价: 面议
起订:
供货总量:
发货期限: 自买家付款之日起 3 天内发货
所在地: 山东 济南市
有效期至: 长期有效
最后更新: 2020-11-03 11:49
浏览次数: 688
询价
公司基本资料信息
 
 
产品详细说明
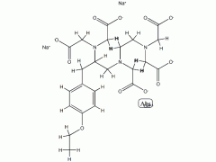
 中文名称:钆塞酸二钠

中文同义词:钆塞酸二钠;钆噻酸二钠;甲氧酸盐杂质

英文名称:Gadoxetate DisodiuM

英文同义词:GADOXETATE DISODIUM;gadoliniuM coMplex;Gadoxetate;

CAS:135326-22-6

分子式/结构式:C23H28GdN3Na2O11

分子量:725.7142 

纯  度:≥99%

质量标准:企业标准

0条 [查看全部]  相关评论